日记 六月十七日 18-23° 多云
距上次抬笔已一月有余。五月十九日结束出差抵达昆明,之后调整时差、恢复骑行训练,并加入了周末(相对)长距离的骑行(环滇池95km)。阅读、看电影,一切照旧。
体检得知LDL-C(低密度脂蛋白胆固醇)偏高,于是决心根据Peter Attia的胆固醇相关博文写一系列日记,今天是第一篇,着重解决以下几个问题:
- 什么是胆固醇
- 误区:胆固醇有害
- 胆固醇的来源
- 胆固醇的代谢(吸收、排泄)
- 膳食胆固醇和体内的胆固醇间的关系
1 胆固醇是什么
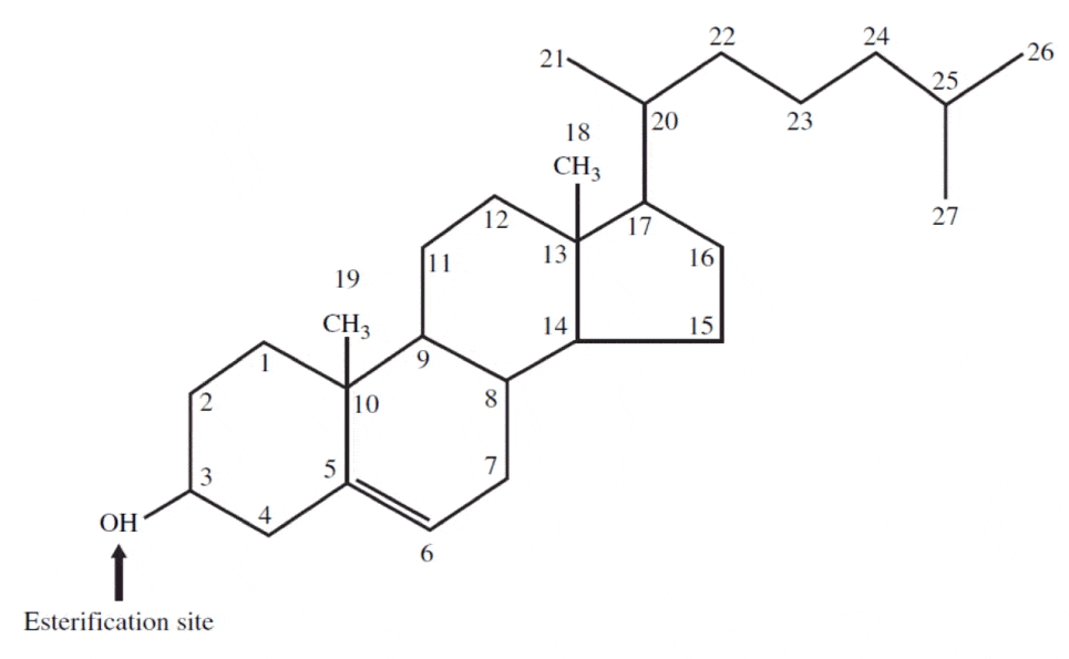
胆固醇是由27个碳原子组成的一种有机分子:

根据对初高中化学仅存的一些记忆,回想起它是醇类(胆固“醇”的名字已经点明了):左下角的羟基就是标志。更准确地讲,胆固醇是“固醇”类(sterol):含有上图中那四个碳环结构(叫做类固醇核)的化合物。
根据对初高中化学仅存的一些记忆,酸醇反应生成酯:带有羧基的有机酸R-COOH(-COOH部分就是羧基)与带有羟基的醇R’OH反应会生成酯ROOR’和水。
因此,胆固醇有两种存在形式:
- 游离态:未酯化的,依然包含羟基。英文unesterified cholesterol,简称UC
- 酯化:英文cholesterol ester,简称CE
根据上图的分子式,酯化的CE在羟基那里会挂上一个来自有机酸的“附件”。这个羟基就是胆固醇的酯化位置。
2 误区:胆固醇有害
可能大多数人闻胆固醇色变,对胆固醇有一个错误的印象,就是“胆固醇对人体有害”。这其实是一个巨大的误解,不过可以理解,毕竟互联网上充斥着各种不负责任的垃圾信息,诸如“每天不能吃超过两个蛋黄,因为胆固醇有害”之类。
但实际上胆固醇不是有害的。胆固醇不仅无害,而且是非常好、非常重要的。
首先,胆固醇对人类的存在至关重要:胆固醇是人体细胞膜的重要组成部分。细胞膜的基本骨架是磷脂双层分子,而动物细胞膜中除了磷脂外最重要的分子就是胆固醇,它保持细胞膜的强度并减少其渗透性。要知道,细胞膜的重要功能就是为细胞提供流动性和渗透性,它控制着细胞如何移动,如何与其他细胞相互作用,以及如何将“重要”的东西进出细胞。可以说没有胆固醇就没有动物细胞,是的,胆固醇就是这么重要。
其次,胆固醇在维生素和类固醇激素(听名字就知道“胆固醇”和“类固醇”激素的关联是多么紧密了)的合成中发挥重要作用。看下图类固醇激素合成的图片就知道很多类固醇激素长得跟胆固醇多么像了(都有类固醇核)。

这张图包含了许多孕激素、雌激素、雄激素、糖皮质激素的分子结构,仅仅看结构就知道它们都含有类固醇核,都是在胆固醇侧链裂解酶脱去侧链后发生一系列反应之后得到的。
既然胆固醇如此重要,那么为什么我们会有“胆固醇有害”这种印象?如果有害的不是胆固醇,有害的是什么?其实,真正有害的并不是胆固醇本身,而是当胆固醇进入动脉壁内,并且导致炎症反应,从而导致该动脉阻塞。最著名的是冠状动脉或颈动脉,如图:
![]()
![]()
3 胆固醇的来源
胆固醇的来源有两种:
- 外源性(exogenous,来自饮食):约占每天“进入”人体的总胆固醇的25%(300-500毫克),来自动物性食物(如蛋黄、肉类)。
- 内源性(endogenous,自身合成):占75%(800-1200毫克),主要由肝脏(20%)和其他细胞(80%)合成。胆固醇是所有细胞膜以及类固醇激素和胆汁酸产生所必需的,体内每个细胞都能产生胆固醇,因此实际上只有极少数细胞需要被输送胆固醇。
胆固醇合成是一个复杂的四步过程,包含37个独立步骤。扫一眼Wikipedia即可对其复杂性有所了解。胆固醇的合成虽然复杂,但它是一个受到多重反馈回路严格调控的过程,在反馈调控下,确保细胞内的胆固醇浓度始终维持在一个极窄的区间内(胆固醇稳态)。胆固醇过多时,会在细胞内结晶,触发细胞凋亡(程序性死亡);胆固醇过少则会影响细胞膜结构、激素合成等重要功能。
需要注意的是,血浆中的胆固醇水平(常规血脂六项检查即刻得到的结果)与细胞中、尤其是动脉壁中的胆固醇水平关系不大,我们最关心的其实是动脉血管壁中的胆固醇。
4 胆固醇吸收与排出
以Gastroenterology Journal这篇文章中的图为例:

- 左侧是肠细胞表面,NPC1L1蛋白质可以促进肠腔内未酯化胆固醇(UC)进入肠细胞。它类似于夜店门口的检票员(肠细胞是夜店);他让大部分胆固醇(“人”)进入,然而检票员无法区分胆固醇(“好人”)和植物甾醇(“坏人”),甚至无法区分过多的胆固醇(“太多人”)。
- 粉色圆圈代表一种三磷酸腺苷(ATP)结合盒转运蛋白,促进未酯化胆固醇(UC)从肠细胞主动外流回肠腔,以便排泄。可将它想象成酒吧里的保镖;他会清除那些溜过检票员但你不想进入夜店的坏人,在过度吸收的情况下(即在肠道吸收过多好东西的情况下),它们也可以将不需要的胆固醇排出:一旦太多的“好人”进入夜店,人满为患,就必须踢出去一些人。
此外,肝脏只能将UC而非CE从肝细胞通过胆汁外排发送到肠道系统,并最终被肠道肠细胞重新吸收。肝脏排出胆固醇的主要方法是将胆固醇转化为胆汁酸,将其外排到胆汁,并将胆汁酸排泄到粪便中,通常大多数胆汁酸在回肠中被重新吸收。如果肝脏要将CE排泄到胆汁并最终排泄到肠道,则需要首先使用胆固醇酯酶对其进行去酯化(将肝脏CE转化为UC)。
从上面的描述中可以看出,胆固醇进入、排出肠道系统都是以UC的形式。但实际上肠道中的大部分(约85%)UC实际上都不是来自食物的,而是内源性的:都是在身体细胞中合成、返回肝脏、然后通过胆汁分泌排出进入肠道的。人体会动态调节合成与吸收胆固醇,当胆固醇摄入量减少时,身体会合成更多胆固醇、从肠道吸收(即循环利用)。
5 膳食胆固醇和体内的胆固醇间的关系
简单来说,没什么关系。
根据前一章节的介绍,只有游离(未酯化)的胆固醇(UC)才能通过肠道被肠细胞吸收,因为胆固醇酯CE酯化后的侧链庞大,无法被吸收;而食物中大部分(>50%)胆固醇是酯化的CE,因此我们实际上并没有吸收太多外源性胆固醇。
尽管CE可以在胰腺脂肪酶和酯醇酶的作用下被脱酯化(因此我们摄入的CE也有一部分可以被转变为UC而被吸收),但实际上饮食中的胆固醇对人体内胆固醇水平的影响很小。多年前加拿大指南已经取消了对膳食胆固醇的限制;2015年美国膳食指南也已删除了每日膳食胆固醇限制在300毫克之内的建议。不过这并不意味着你可以无限量摄入富含胆固醇的食物,因为胆固醇含量高的食物一般而言饱和脂肪的含量也高,例如肥肉和全脂乳制品等。因此,虽然无需控制膳食胆固醇,我们依然应当保持健康的饮食,限制饱和脂肪的摄入。
小结
- 胆固醇无非是人体内的一种有机分子而已,谈不上神秘。我们摄入胆固醇,人体会制造胆固醇,我们会储存胆固醇,也可以排出胆固醇——一切都在以不同的量进行。
- 人体内的胆固醇对生命至关重要。没有胆固醇就没有生命。
- 胆固醇以两种形式存在:UC(未酯化胆固醇)和CE(胆固醇酯)。胆固醇的存在形式决定了我们是否可以吸收或储存它。
- 调节胆固醇的过程非常复杂且多方面,具有多层控制。吸收、合成方面都受到很复杂的调控,而且合成和吸收是密切相关的。
- 重新吸收我们在体内合成的胆固醇是我们体内胆固醇的主要来源。也就是说,我们体内的大部分胆固醇是由我们身体制造的。
- 摄入胆固醇对你体内的胆固醇水平影响很小,膳食中的胆固醇大部分不会被吸收。原因:膳食胆固醇大多是CE,不仅需要先被去酯化才能被吸收,而且还需要与内源性的大量UC(胆汁途径提供的)竞争。
在下一节中,我们主要看看胆固醇在体内是如何被运输的。